Ao participar do Futurecom Digital Week, nesta sexta-feira, 30/10, o superintendente de competição da Anatel, Abraão Balbino, sustentou que não há nenhum impedimento regulatório que impeça a atuação das redes neutras no Brasil,
sábado, 31 de outubro de 2020
TIC: Anatel diz que rede neutra única é um risco à competição
Ao participar do Futurecom Digital Week, nesta sexta-feira, 30/10, o superintendente de competição da Anatel, Abraão Balbino, sustentou que não há nenhum impedimento regulatório que impeça a atuação das redes neutras no Brasil,
Fundos de Pensão: Estudo para privatização dos Correios revela passivo de R$ 14 bilhões, sendo metade do Postalis e do plano de saúde
Um estudo realizado por um grupo do Ministério da Economia sobre a saúde financeira dos Correios, uma das maiores estatais brasileiras, divulgado pela Exame, dá uma ideia de como estão as contas da empresa atualmente.
Meu Bolso: Você conhece as opções de investimento em Renda Fixa?
Especialistas explicam a sopa de letrinhas do mercado financeiro e comentam as melhores alternativas para cada perfil de investidor
sexta-feira, 30 de outubro de 2020
Planos de Saúde de autogestão: Seminário da Anapar em defesa dos planos de saúde de autogestão emite documento
Representantes de entidades estão preocupados com tentativa de extinção dos planos de assistência à saúde de autogestão
Fundos de Pensão: STJ não reconhece novos direitos trabalhistas sobre benefícios já concedidos a assistidos
O Superior Tribunal de Justiça (STJ) decidiu ontem (28/10), por unanimidade, que reconhecimento de direitos a verbas remuneratórias de qualquer tipo por parte da justiça trabalhista não servem como base para aposentados de fundos de pensão pleitearem a ampliação de seus benefícios junto às fundações.
Fundos de Pensão: Novo Código de Conduta e Ética responsabiliza dirigentes e conselheiros por comportamento nas redes sociais
TIC: TIM vai fornecer conectividade a veículos Fiat, Jeep e Ram em 2021
Acordo anunciado hoje prevê expansão com o passar do tempo, conforme plataforma de veículo conectado do grupo automotivo FCA ganhe novos recursos
quinta-feira, 29 de outubro de 2020
TIC: Bolsonaro quer 5G seguro e teles terão de abrir redes para garantir velocidades
Nova tecnologia exigirá compartilhamento e aluguel de data centers pelo país para garantir qualidade
Fundos de Pensão: Previc emite Instrução 34 relativa a prevenção da prática dos crimes de "lavagem" ou ocultação de bens, direitos e valores nas EFPCs
DIÁRIO OFICIAL DA UNIÃO
Publicado em: 29/10/2020 | Edição: 208 | Seção: 1 | Página: 100
Órgão: Ministério da Economia/Superintendência Nacional de Previdência Complementar/Diretoria Colegiada
INSTRUÇÃO NORMATIVA PREVIC Nº 34, DE 28 DE OUTUBRO DE 2020
TIC: Embrapii aportará R$ 70 mi para criar rede de pesquisa em Inteligência Artificial (IA). CPQD presidirá comitê consultivo da rede
Ao colocar R$ 70 milhões novos, a expectativa é que o volume de investimentos nessas áreas seja o dobro, dado o modelo de parceria com o setor privado no qual a Embrapii opera
Fundos de Pensão: Verbas de trabalhador garantidas na Justiça não podem ser incluídas em previdência privada
O trabalhador que tem reconhecido pela Justiça do Trabalho a existência de verbas remuneratórias devidas pelo ex-empregador não pode inclui-las nos cálculos e na renda mensal inicial dos benefícios de complementação de aposentadoria por entidade fechada de previdência privada.
quarta-feira, 28 de outubro de 2020
INSS: Confira os serviços do INSS que estão disponíveis na internet
O INSS (Instituto Nacional do Seguro Social) está em processo de abertura gradual nas agências para o atendimento ao público.
INSS: Projeto libera aposentado que segue na ativa de contribuir para Previdência
O Projeto de Lei 4851/20 determina que o aposentado da Previdência Social que retornar ao mercado de trabalho não será considerado segurado obrigatório, sendo dispensado do recolhimento mensal da contribuição previdenciária.
terça-feira, 27 de outubro de 2020
Aposentadorias devem ser prejudicadas por causa da pandemia, diz estudo
Aumento da dívida pública, menores contribuições e impactos na força ativa de trabalho trazem insegurança aos sistemas previdenciários
Comportamento: A desvantagem de convenientemente se conectar com o Google, Facebook, Twitter ou Apple em Sites e Apps
Por exemplo, você finalmente está pronto para alugar aquele chalé incrível que você viu no Airbnb e é hora de criar uma conta para o serviço.
Fundos de Pensão: CNPC, em reunião com ANABB, afirmou que congelamento de benefícios já foi retirado de pauta
segunda-feira, 26 de outubro de 2020
Fundos de Pensão: Previc regulamenta duration, precificação, destinação de superavits e equacionamento de déficits (Rev. 1)
INSTRUÇÃO NORMATIVA PREVIC Nº 033, DE 23.10.2020(*) (DOU DE 28.10.2020)
CONTEÚDO
INSTRUÇÃO NORMATIVA PREVIC Nº 033, DE 23.10.2020(*)
Regulamenta critérios técnico-atuariais para definição da duração do passivo, da taxa de juros parâmetro, do ajuste de precificação, do estudo técnico de adequação das hipóteses atuarias, além de estabelecer procedimentos a serem adotados pelas entidades fechadas de previdência complementar para destinação e utilização de superávit e elaboração, aprovação e execução de planos de equacionamento de déficit.
A DIRETORIA COLEGIADA DA SUPERINTENDÊNCIA NACIONAL DE PREVIDÊNCIA COMPLEMENTAR (Previc), na sessão 510ª realizada em de 22 de outubro de 2020, com fundamento no inciso III do Art. 2º Lei nº 12.154, de 23 de dezembro de 2009, inciso III do art. 2º e inciso VIII do art. 10 do Anexo I do Decreto nº 8.992, de 20 de fevereiro de 2017 e em conformidade com o inciso III do art. 2º do Decreto n° 10.139, de 28 de novembro de 2019 e na Resolução CNPC nº 30, de 10 de outubro de 2018, resolve
Art. 1º As entidades fechadas de previdência complementar (EFPC) devem observar as orientações e os procedimentos estabelecidos nesta Instrução para o cumprimento do disposto na Resolução CNPC nº 30, de 10 de outubro de 2018, quanto à apuração de resultado, à destinação e à utilização de superávit, ao equacionamento de déficit, à realização dos estudos técnicos e aos parâmetros técnico-atuariais dos planos de benefícios de caráter previdenciário que administram.
Art. 2º O resultado do plano de benefícios a ser registrado no balanço patrimonial deve ser apurado mediante avaliação atuarial posicionada no encerramento de cada exercício.
§1º A ocorrência de fato relevante enseja nova avaliação atuarial, a ser realizada com base na posição de fim do mês da data de efetivação do fato relevante.
§2º Considera-se fato relevante:
I - a alteração do regulamento com impacto no custo, no custeio ou no resultado do plano de benefícios;
II - a cisão, fusão ou incorporação de planos de benefícios;
III - a migração de participantes ou assistidos entre planos de benefícios;
IV - o saldamento de plano de benefícios;
V - a retirada parcial de patrocínio; ou
VI - outros eventos supervenientes com impacto significativo no custo, no custeio ou no resultado do plano de benefícios que necessitem de imediata resposta da EFPC, devidamente fundamentados.
CAPÍTULO I
DA DURAÇÃO DO PASSIVO
Art. 3º A duração do passivo corresponde à média dos prazos dos fluxos de pagamentos de benefícios de cada plano, líquidos de contribuições normais e extraordinárias incidentes sobre esses benefícios, ponderada pelos valores presentes desses fluxos, conforme a fórmula constante do Anexo a esta Instrução.
Art. 4º Os fluxos de pagamentos de benefícios de cada plano devem considerar os benefícios a conceder e concedidos que tenham seu valor ou nível previamente estabelecido e cujo custeio seja determinado atuarialmente, bem como os benefícios concedidos que adquiriram característica de benefício definido na fase de concessão, de forma a assegurar sua concessão e manutenção.
Art. 5º Para fins de cálculo do Limite de Reserva de Contingência, do Limite de Déficit Técnico Acumulado e do prazo para amortização do valor a ser equacionado, a duração do passivo deve ser apurada em anos no sistema de Duração do Passivo e Ajuste de Precificação (DPAP) e ser calculada para o encerramento do exercício de referência ou para o fim do mês da data de efetivação do fato relevante.
Parágrafo único. Caso ocorra o equacionamento de déficit no próprio encerramento do exercício de apuração do resultado deficitário, a duração do passivo para fins de atendimento ao disposto no caput deve ser a calculada previamente ao lançamento do correspondente fluxo de contribuições extraordinárias futuras.
CAPÍTULO II
DA TAXA DE JUROS PARÂMETRO
Art. 6º A taxa de juros parâmetro corresponde àquela cujo ponto da Estrutura a Termo de Taxa de Juros Média (ETTJ) seja o mais próximo à duração do passivo do respectivo plano de benefícios.
§1º A duração do passivo para encontrar a taxa de juros referida no caput é aquela calculada considerando o fluxo projetado na avaliação de encerramento do exercício anterior ao de referência.
§2º Na ocorrência de fato relevante que enseje a elaboração de nova avaliação atuarial, deve ser considerado o fluxo projetado que reflita a nova realidade do plano de benefícios.
§3º Os pontos das ETTJ serão apurados com data-base do primeiro dia útil de abril.
§4º Os pontos das ETTJ e correspondentes taxas de juros parâmetro, bem como os limites inferior e superior, serão divulgados anualmente pela Previc até 30 de abril de cada exercício.
Art. 7º O cálculo da taxa de juros parâmetro deve considerar a duração do passivo com uma casa decimal, conforme definido no Anexo a esta Instrução.
Art. 8º Independentemente da modalidade, quando o plano apresentar benefícios com características de benefício definido, a duração do passivo deve ser considerada para efeito de definição da taxa de juros parâmetro.
§1º O plano de benefícios que apresente benefício com características de contribuição definida e utilize taxa real anual de juros em seu cálculo deve adotá-la dentro do intervalo regulatório estabelecido, considerando a duração de dez anos.
§2º Caso o plano de benefícios possua fundo previdencial que utilize em sua constituição e manutenção a hipótese de taxa real anual de juros, aplicam-se os critérios de definição para a taxa de juros parâmetro previstos neste artigo, conforme evento ou risco ao qual esteja associado.
Art. 9º No caso de inviabilidade técnica para apuração da duração do passivo, o plano de benefícios deve aplicar a ETTJ considerando a duração de dez anos para efeito de definição da taxa de juros parâmetro.
Parágrafo único. Cabe ao atuário responsável pelo plano de benefícios a manifestação sobre a inviabilidade técnica nas Demonstrações Atuariais (DA).
CAPÍTULO III
DO AJUSTE DE PRECIFICAÇÃO
Art. 10. O ajuste de precificação é restrito aos títulos públicos federais atrelados a índices de preços mantidos em carteira própria que atendam, cumulativamente, aos seguintes requisitos:
I - estejam classificados na categoria títulos mantidos até o vencimento;
II - tenham por objetivo o pagamento dos benefícios a conceder e concedidos com valor ou nível previamente estabelecidos e cujo custeio seja determinado atuarialmente, de forma a assegurar sua concessão e manutenção, bem como dos benefícios concedidos que adquiriram característica de benefício definido na fase de concessão;
III - o valor presente do fluxo dos títulos públicos federais objetos do ajuste, principal e juros, seja igual ou inferior ao valor presente do fluxo de pagamento de benefícios, apurados anualmente para todo o período do fluxo;
IV - a duração do fluxo dos títulos públicos federais objetos do ajuste seja inferior à duração do fluxo de pagamento de benefícios; e
V - esteja demonstrada a capacidade financeira de atendimento às necessidades de liquidez do plano de benefícios.
§1º No cálculo do valor presente e da duração dos fluxos referidos nos incisos III e IV deste artigo, deve ser aplicada a taxa real anual de juros utilizada na avaliação atuarial de encerramento do exercício correspondente.
§2º Os títulos utilizados para fins de ajuste não podem ser excluídos do cálculo dos exercícios subsequentes, exceto quando não atenderem aos requisitos constantes nos incisos I a IV deste artigo.
§3º São obrigatórias a apuração e a divulgação do ajuste de precificação para os títulos públicos federais que se enquadrem nas condições constantes deste artigo e devem constar das notas explicativas das demonstrações contábeis.
Art. 11. A EFPC deve considerar o ajuste de precificação de títulos no cálculo do equilíbrio técnico ajustado constante das informações complementares da Demonstração do Ativo Líquido (DAL), para fins de destinação de superávit e equacionamento de déficit da seguinte forma:
I - positivo ou negativo, no caso de equacionamento de déficit; ou
II - somente negativo, no caso de destinação de superávit.
Parágrafo único. A EFPC deve apurar novo valor de ajuste de precificação na ocorrência de fato relevante, destinação de superávit ou equacionamento de déficit em data diferente da data de encerramento de exercício.
Art. 12. Na ocorrência de ajuste de precificação, o atuário responsável pelo plano de benefícios deve registrá-lo no parecer atuarial constante nas DA, emitir manifestação acerca dos impactos na solvência e no equilíbrio atuarial do plano ao longo do tempo, bem como evidenciar os requisitos necessários para registro de títulos na categoria mantidos até o vencimento, especialmente em relação à capacidade financeira de atendimento às necessidades de liquidez do plano de benefícios.
CAPÍTULO IV
DA ADEQUAÇÃO DAS HIPÓTESES
Seção I
Das Hipóteses Biométricas
Art. 13. As tábuas biométricas utilizadas nas avaliações atuariais dos planos de benefícios devem ter sua aderência atestada por meio de estudo específico, elaborado em conformidade com o Capítulo VIII desta Instrução.
§1º As tábuas de mortalidade geral referenciais para o cálculo das provisões matemáticas dos planos de benefícios devem ser "AT-2000 Básica - M" para o sexo masculino e "AT-2000 Básica - F" para o sexo feminino.
§2º No caso de impossibilidade técnica de realização de testes de aderência, os planos de benefícios não poderão adotar tábuas de mortalidade geral que gerem provisões matemáticas menores do que as tábuas referenciais mencionadas no §1º.
§3º No caso de planos de benefícios que comprovem aderência das tábuas de mortalidade geral nos termos definidos no Capítulo VIII de tábuas que gerem provisões matemáticas menores que aquelas geradas pelas tábuas referenciais, é necessário que o atuário responsável pelo plano emita parecer específico, acompanhado de manifestação de ciência e concordância do Administrador Responsável pelo Plano de Benefícios (ARPB), comprovando a aderência e a razoabilidade da adoção da hipótese.
§4º As EFPC classificadas como Entidades Sistemicamente Importantes (ESI) que administrem planos de benefícios nas modalidades benefício definido (BD) e contribuição variável (CV) devem adicionalmente calcular e informar nas DA as provisões matemáticas geradas pela utilização de tábua geracional de mortalidade geral, com respectiva escala de melhoria de longevidade, conforme diretrizes a serem divulgadas pela Previc.
Seção II
Da Taxa Real Anual de Juros
Art. 14. A taxa real anual de juros a ser utilizada como taxa de desconto para apuração do valor presente dos fluxos de benefícios e contribuições do plano de benefícios deve ser:
I - divulgada anualmente aos participantes, aos patrocinadores e instituidores; e
II - utilizada para a transformação de saldo de conta em benefícios, se previsto no regulamento do plano de benefícios de caráter previdenciário.
Seção III
Da Responsabilidade, das Vedações e da Divulgação
Art. 15. Sem prejuízo das responsabilidades de auditores atuariais e membros estatutários da EFPC, a proposição e a validação das hipóteses adotadas na avaliação atuarial do plano de benefícios é responsabilidade do atuário do plano.
Parágrafo único. A responsabilidade pela proposição ou validação das hipóteses de que trata o caput também alcança as pessoas jurídicas das quais façam parte os profissionais indicados como sócios, empregados ou prestadores de serviço.
Art. 16. As EFPC não podem adotar taxas negativas para as projeções de crescimento real de salários ou crescimento real dos benefícios do plano, bem como o agravamento ou desagravamento em outras hipóteses cuja combinação resulte em taxa real anual de juros fora dos limites regulatórios.
CAPÍTULO V
DO CUSTEIO E DA UTILIZAÇÃO DO EQUILÍBRIO TÉCNICO AJUSTADO
Seção I
Do Custeio do Plano
Art. 17. O atendimento às exigências relativas ao custeio do plano de benefícios deve observar o disposto no regulamento do plano, com o devido reflexo na nota técnica atuarial e no plano de custeio estabelecido para o exercício em que está sendo apurado o resultado.
§1º Ao estabelecer o plano de custeio para o ano subsequente, o atuário responsável deve utilizar critérios que preservem o equilíbrio financeiro e atuarial do plano de benefícios, considerando o método de financiamento adotado, de modo a não caracterizar utilização de resultado acumulado no exercício anterior e contabilizado como reserva de contingência, nem utilização de resultado do exercício em desacordo com as definições regulatórias.
§2º A revisão do plano de custeio para redução ou suspensão de contribuições extraordinárias de participantes, assistidos ou patrocinador somente pode ser efetuada em função da apuração de equilíbrio técnico ajustado positivo para o plano de benefícios, no exercício de referência.
§3º No caso de contribuições extraordinárias relativas a serviço passado, a possibilidade de sua revisão em função de valor do equilíbrio técnico ajustado positivo, na forma do § 2º deste artigo, deve estar prevista no regulamento do plano de benefícios.
Seção II
Da Revisão do Plano de Custeio
Art. 18. A utilização do equilíbrio técnico ajustado positivo para fins de revisão do plano de custeio em relação às contribuições extraordinárias, na forma prevista no art. 17 desta Instrução, deve ser justificada em parecer do atuário responsável e aprovada pelas instâncias competentes da EFPC.
§1º A utilização referida no caput deve ser precedida da segregação entre o montante atribuível aos participantes e assistidos, de um lado, e ao patrocinador, de outro, observada a proporção contributiva do período em que se deu a constituição do equilíbrio técnico ajustado positivo, ressalvado o disposto no § 2º, do art. 30 desta Instrução.
§2º Em caso de vigência de dois ou mais planos de equacionamento em curso, a utilização do equilíbrio técnico ajustado positivo deve ser realizada de forma proporcional às respectivas provisões a constituir remanescentes.
Art. 19. Não são admitidos como fonte de recursos para o equacionamento de déficit resultados oriundos de alterações de hipóteses atuariais, de regimes financeiros ou de métodos de financiamento.
CAPÍTULO VI
DA REVISÃO DO PLANO DE BENEFÍCIOS E DA DESTINAÇÃO DA RESERVA ESPECIAL
Art. 20. A revisão obrigatória do plano de benefícios deve destinar, no mínimo, até o final do exercício subsequente, o valor integral da reserva especial registrado nos últimos três exercícios.
Art. 21. Caso o plano adote hipóteses atuariais cuja aplicação resulte em provisões matemáticas inferiores às obtidas com a aplicação das hipóteses especificadas a seguir, anteriormente à destinação, devem ser deduzidos da reserva especial, para fins de cálculo do montante a ser destinado, os valores correspondentes à diferença entre as provisões matemáticas calculadas com as hipóteses efetivamente adotadas pelo plano e aquelas calculadas com as seguintes hipóteses, de forma combinada:
I - tábuas biométricas de mortalidade geral utilizadas para projeção da longevidade, exceto daqueles na condição de inválidos: "AT 2000 Básica - F" para o sexo feminino e "AT 2000 Básica - M" para o sexo masculino, ambas com desagravamento de dez por cento; e
II - taxa real anual de juros correspondente ao teto do intervalo regulatório estabelecido para o respectivo plano de benefícios, reduzida em um ponto percentual.
Art. 22. Para fins de destinação da reserva especial, devem ser observadas as seguintes condições:
I - considerar apenas as provisões matemáticas de benefício definido de participantes e assistidos na destinação da parcela da reserva especial, quando se der com base nas reservas matemáticas individuais;
II - a utilização da reserva especial para redução parcial, redução integral ou suspensão de contribuições deve contemplar prioritariamente aquelas contribuições para custeio dos benefícios que tenham seu valor ou nível previamente estabelecido e cujo custeio seja determinado atuarialmente; e
III - a cobertura integral do valor presente dos benefícios do plano deve considerar apenas aqueles com características de benefício definido.
§1º A utilização dos fundos previdenciais de revisão do plano deve ocorrer de forma concomitante e proporcional entre os fundos atribuídos aos participantes, assistidos e patrocinador constituídos para essa finalidade.
§2º No caso de plano de benefícios não sujeito à Lei Complementar nº 108, de 2001, a EFPC poderá propor critério de utilização dos fundos previdenciais de revisão do plano diferente do definido no § 1º deste artigo, desde que mais benéfico aos participantes e assistidos, mediante prévia anuência do patrocinador.
Art. 23. A EFPC deve promover a realização prévia de auditoria independente específica para avaliação dos recursos garantidores e das provisões matemáticas do plano de benefícios, nos casos em que a destinação da reserva especial envolver a reversão de valores.
CAPÍTULO VII
DO EQUACIONAMENTO DE DÉFICIT
Seção I
Do Valor a Equacionar
Art. 24. O valor do déficit a ser equacionado deve ser apurado na avaliação atuarial realizada ao final de cada exercício social.
§1º O valor do déficit a ser equacionado pode, a critério da EFPC, ser corrigido entre a data de sua apuração e a data de início do plano de equacionamento, desde que considerado, no mínimo, o seu valor nominal, devendo o critério de correção adotado estar consignado em parecer do atuário responsável.
§2º Admite-se o reposicionamento do déficit a ser equacionado em momento posterior ao indicado no caput em caso de realização de avaliação atuarial por fato relevante, conforme determinado pelos §§ 1º e 2º do art. 2º desta Instrução.
Art. 25. No caso de utilização da faculdade de extensão do prazo de amortização do déficit para aquele correspondente à liquidação do passivo atuarial do plano de benefícios, o montante a ser equacionado deve corresponder, preferencialmente, ao maior valor absoluto entre o déficit técnico acumulado e o equilíbrio técnico ajustado apurado para o plano de benefícios no ano de referência.
Seção II
Do Plano de Equacionamento
Art. 26. O início do plano de equacionamento corresponde à data de aplicação das formas adotadas para o equacionamento do déficit do plano de benefícios e deve ocorrer até o início de vigência do plano de custeio, no ano subsequente à aprovação do plano de equacionamento.
Art. 27. Os planos de equacionamento devem prever amortização que contemple fluxo de contribuições extraordinárias constante ou decrescente, comprovado por meio de demonstração do fluxo projetado no momento da implementação do plano, sendo que os respectivos ativos devem ser compatíveis com as necessidades de liquidez do plano de benefícios.
Parágrafo único. Caso o plano de equacionamento estabeleça contribuições extraordinárias em termos de percentual aplicável sobre salários ou benefícios, a comprovação de que trata o caput será pelo percentual de contribuição, constante ou decrescente.
Art. 28. A EFPC deve comprovar, anualmente, se o plano de equacionamento de déficit apresenta resultados efetivos, cabendo, em caso contrário, a adequação do plano, respeitando todas condições regulatórias.
Seção III
Do Prazo de Amortização
Art. 29. O prazo de amortização de déficit deve ser atestado por meio de fluxo atuarial que considere anualmente as receitas, as despesas e o patrimônio de cobertura, este segregado em integralizado e a integralizar, pelo período correspondente ao pagamento de todas as parcelas, devendo ficar evidenciado que a amortização está ajustada às necessidades de recursos do plano de benefícios.
Parágrafo único. Na ocorrência de nova insuficiência de cobertura patrimonial, que demande equacionamento antes do término da amortização referida no caput, deve ser realizada nova operação de equacionamento.
Seção IV
Dos Instrumentos Contratuais
Art. 30. Nos instrumentos contratuais firmados com o patrocinador, a cláusula de revisão anual automática do saldo devedor em função de ganhos ou perdas atuariais, caso prevista, deve estar vinculada ao valor do equilíbrio técnico ajustado positivo ou negativo, respectivamente, apurado no plano de benefícios.
§1º O valor do equilíbrio técnico ajustado negativo somente pode ser incorporado ao saldo devedor dos instrumentos contratuais de dívida dos patrocinadores quando o prazo remanescente da dívida for igual ou inferior ao prazo máximo de equacionamento.
§2º O valor do equilíbrio técnico ajustado positivo ou negativo utilizado para revisão anual do saldo devedor da dívida do patrocinador, na forma do caput, deve observar as proporções contributivas definidas para o rateio da insuficiência entre participantes, assistidos e patrocinadores.
§3º O instrumento contratual deverá ficar à disposição da Previc, juntamente com os fluxos anuais de receitas, despesas e patrimônio de cobertura, pelo período de pagamento de todas as parcelas do contrato, observadas as demais disposições regulatórias da matéria.
CAPÍTULO VIII
DO ESTUDO TÉCNICO DE ADEQUAÇÃO DAS HIPÓTESES ATUARIAIS
Seção I
Das Definições e dos Requisitos Gerais
Art. 31. Toda a hipótese atuarial adotada para avaliação atuarial de plano de benefícios deve estar embasada em estudo técnico de adequação.
Art. 32. O estudo técnico de adequação é o instrumento técnico de responsabilidade da EFPC, no qual devem ser demonstradas para cada plano de benefícios:
I - a convergência entre a hipótese de taxa real anual de juros e a taxa de retorno real anual projetada para as aplicações dos recursos garantidores relacionados aos benefícios a conceder e concedidos que tenham seu valor ou nível previamente estabelecido e cujo custeio seja determinado atuarialmente; e
II - a aderência das demais hipóteses biométricas, demográficas, econômicas e financeiras às características da massa de participantes e assistidos e do plano de benefícios.
Art. 33. O estudo técnico de adequação deve:
I - estar acompanhado de parecer conclusivo do atuário acerca do conjunto de hipóteses tecnicamente adequado ao plano de benefícios, considerando a aderência e a convergência verificadas nos estudos;
II - possuir atestado de validação, expedido pelo Administrador Estatutário Tecnicamente Qualificado (AETQ), relativo às informações de investimento utilizadas no estudo técnico; e
III - possuir atestado de validação, expedido pelo ARPB, relativo aos dados cadastrais e demais informações referentes ao passivo atuarial utilizados no estudo técnico.
Art. 34. Em relação ao procedimento de elaboração, o estudo técnico de adequação deve ser:
I - elaborado pelo atuário habilitado e legalmente responsável pelo plano de benefícios;
II - embasado em informações fornecidas pela EFPC e pelo respectivo patrocinador ou instituidor.
§1º Os dados cadastrais e demais informações referentes ao passivo atuarial devem ser providenciados pelo ARPB e as informações relativas aos investimentos devem ser providenciadas pelo AETQ.
§2º Cabe à EFPC solicitar a manifestação fundamentada do patrocinador ou instituidor acerca das hipóteses econômicas e financeiras que guardem relação com suas respectivas atividades, devendo essa informação ser utilizada como subsídio para a demonstração da aderência dessas hipóteses no estudo técnico referido no caput.
Art. 35. Em relação ao prazo de validade, o estudo técnico de adequação deve ter:
I - validade geral máxima de três anos, contados a partir da data de sua realização, cabendo ao ARPB avaliar e indicar a necessidade de realização em menor período, conforme parecer do atuário habilitado e legalmente responsável pelo plano de benefícios.
II - validade específica em relação à hipótese de taxa real anual de juros de um ano.
Parágrafo único. A validade do estudo técnico de adequação para a hipótese de tábua de mortalidade geral, que trata o inciso I deste artigo, será de cinco anos para os planos de benefícios que adotarem tábua geracional de mortalidade geral com a respectiva escala de melhoria de longevidade.
Art. 36. Na ocorrência de fato relevante que enseje a elaboração de nova avaliação atuarial, o estudo técnico de adequação deve refletir a nova realidade do plano de benefícios.
Art. 37. A Previc pode determinar, a qualquer tempo, a realização de novo estudo técnico de adequação caso o estudo original seja avaliado como inconsistente ou insuficiente, apontando especificamente as inconsistências ou insuficiências a serem sanadas, bem como o devido embasamento técnico ou normativo.
Art. 38. Em relação à governança e à divulgação, o estudo técnico de adequação do plano de benefícios deve ser:
I - aprovado pela Diretoria Executiva e pelo Conselho Deliberativo da EFPC;
II - acompanhado de parecer emitido pelo Conselho Fiscal; e
III - disponibilizado, quando requisitado, aos participantes, aos assistidos, aos patrocinadores, aos instituidores e à Previc.
§1º A aprovação referida no inciso I deste artigo não exime o atuário do plano da responsabilidade técnica sobre estudos, cálculos e serviços por ele prestados.
§2º O estudo técnico de adequação deve ficar arquivado na EFPC, à disposição da Previc.
CAPÍTULO IX
DA AUTORIZAÇÃO PARA ADOÇÃO DE TAXA DE JUROS FORA DO INTERVALO
Art. 39. Caso pretenda adotar taxa real anual de juros fora do intervalo regulatório estabelecido, a EFPC deve enviar à Previc:
I - requerimento de autorização assinado pelo representante legal da EFPC;
II - cópia do estudo técnico de adequação; e
III - demais documentos necessários.
Art. 40. O requerimento de autorização para adoção de taxa real anual de juros referido no inciso I do art. 39 desta Instrução deve ser encaminhado à Previc em formulário padrão juntamente com os seguintes documentos:
I - ata de reunião da Diretoria Executiva, contendo aprovação ao estudo técnico de adequação e ao requerimento de autorização, bem como encaminhamento ao Conselho Deliberativo;
II - ata da reunião do Conselho Deliberativo, contendo aprovação ao estudo técnico de adequação e ao requerimento de autorização; e
III - parecer a que se refere o inciso II do art. 38 desta Instrução, bem como ata da reunião Conselho Fiscal atestando a sua ciência do requerimento de autorização.
Art. 41. O indeferimento do requerimento de autorização para adoção da taxa real anual de juros do plano de benefícios implica utilização de taxa dentro do intervalo regulatório estabelecido.
Parágrafo único. A Previc pode determinar, nos termos do art. 37 desta Instrução, a realização de novo estudo técnico de adequação.
Art. 42. A autorização concedida pela Previc aplica-se exclusivamente à adoção da taxa real anual de juros do plano de benefícios e não exime a responsabilidade dos gestores da EFPC e de outros profissionais que tenham contribuído para a realização do trabalho, os quais devem observar os princípios de segurança, rentabilidade, solvência, liquidez e transparência, respondendo na forma da lei pelos seus atos.
Parágrafo único. A autorização referida no caput é válida somente para a avaliação atuarial do ano de referência.
CAPÍTULO X
DISPOSIÇÕES FINAIS
Art. 43. Os documentos elaborados para atendimento ao estabelecido nesta Instrução devem ser mantidos na EFPC à disposição da Previc.
Art. 44. O estudo técnico de adequação das hipóteses atuariais em relação à convergência da taxa real anual de juros, à aderência das demais hipóteses atuariais do plano de benefícios ou pedido de autorização para adoção de taxa de juros fora do intervalo, deve cumprir os requisitos especificados em Portaria da Diretoria de Fiscalização e Monitoramento - DIFIS.
Art. 45. Fica revogada a Instrução Previc nº 10, de 30 de novembro de 2018.
Art. 46. Esta instrução entra em vigor a partir de 1º de janeiro de 2021.
LUCIO RODRIGUES CAPELLETTO
Diretor-Superintendente
(DOU de 28.10.2020 - págs. 79 a 81 - Seção 1)
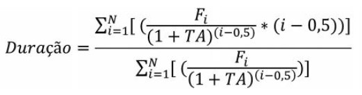
1. A duração do passivo deve ser calculada com a totalidade das casas decimais e com o uso da seguinte fórmula:

Em que:
Fi = somatório dos pagamentos de benefícios de cada plano, líquidos de contribuições incidentes sobre esses benefícios, relativos ao i-ésimo prazo;
i = prazo, em anos, resultante da diferença entre o ano de ocorrência dos fluxos (Fi) e o ano de cálculo; e
TA = a taxa real anual de juros aplicada no ano anterior pelo respectivo plano de benefícios.
2. Para o cálculo do arredondamento do algarismo da casa decimal de que trata o art. 7º devem ser considerados os algarismos relativos à primeira e segunda casas decimais, efetuando-se o arredondamento da seguinte forma:
2.1. Arredonda-se para o número inteiro inferior, quando os algarismos relativos à primeira e segunda casas decimais estiverem compreendidos no intervalo de 01 a 24;
2.2. Arredonda-se o algarismo relativo à primeira casa decimal para cinco, quando os algarismos relativos à primeira e segunda casas decimais estiverem compreendidos no intervalo de 25 a 74; e
2.3. Arredonda-se para o número inteiro imediatamente superior, quando os algarismos relativos à primeira e segunda casas decimais estiverem compreendidos no intervalo de 75 a 99.
____________________
Fonte: Republicação no DOU de 28.10.2020
Previdência privada: Divisão de bens não pode ser tabu entre casais. Nos fundos de pensão assistidos não partilham seus benefícios
STJ reconheceu recentemente que valores aplicados em previdência privada aberta devem ser partilhados entre cônjuges casados sob o regime da comunhão parcial de bens. Na fechada, não
O Superior Tribunal de Justiça reconheceu recentemente que valores aplicados em previdência privada aberta devem ser partilhados entre cônjuges casados sob o regime da comunhão parcial de bens. A decisão do STJ reforça a importância de que os casais adotem medidas de organização patrimonial para, pautados na transparência, evitar surpresas em razão da modificação da jurisprudência dos tribunais. O assunto não pode ser um tabu entre cônjuges e companheiros, pois as medidas de organização patrimonial não são sinônimos de desafeto ou desconfiança.
O STJ ressaltou a distinção entre os planos de previdência privada aberta e fechada. A previdência privada fechada é aquela típica de empresas com fundo de pensão próprio, que se destinam a um grupo restrito de beneficiários (os funcionários). Esses planos têm regras que vedam o resgate antecipado de valores pelo beneficiário.
Já os planos de previdência privada aberta, como VGBL e PGBL, são aqueles facultados ao público em geral. Neste caso, o plano tem a característica de um investimento, possibilitando benefícios fiscais como a redução da base de cálculo do imposto de renda. O investidor tem liberdade para escolher os valores das contribuições, dos eventuais depósitos adicionais e, principalmente, pode realizar resgates antecipados.
É importante lembrar que o Código Civil prevê a incomunicabilidade de benefícios previdenciários. Considerando a diferença entre os planos de previdência privada fechada e aberta, sobretudo o fato de que estes últimos comumente possuem a feição de investimento ordinário, o STJ modificou o entendimento até então vigente para determinar a partilha dos planos de previdência privada aberta.
De fato, ao final do tempo de contribuição, o beneficiário passará a receber os valores que acumulou ao longo dos anos. Neste caso, as verbas recebidas têm caráter de pensionamento, o que impede a sua partilha. Contudo, se o divórcio ocorrer durante o período de capitalização, haverá a partilha, já que nesta fase o beneficiário pode livremente fazer resgates e dar a destinação que bem entender àquele ativo.
Fonte: A Gazeta (25/10/2020)
Nota da Redação: Mais postagens sobre o mesmo tema:
- https://aposentelecom.blogspot.com/2018/03/fundos-de-pensao-previdencia-privada.html
- https://aposentelecom.blogspot.com/2017/10/fundos-de-pensao-ex-conjuge-nao-tem.html
- https://aposentelecom.blogspot.com/2017/08/fundos-de-pensao-recursos-de.html
- https://aposentelecom.blogspot.com/2017/08/fundos-de-pensao-previdencia-fechada.html
Idosos: Especialistas alertam contra aumento da 'velhofobia' durante pandemia de Covid-19
Mirian Goldenberg e Andrea Pachá consideram que sociedade isolou idosos, que ficaram mais sujeitos a violência física e verbal
Fundos de Pensão: Resoluções do CNPC colocam em risco aposentadoria dos associados. Querem acabar com reajustes anuais dos benefícios!
Marcel Barros, vice-presidente da Anapar e representante dos participantes e assistidos no Conselho Nacional de Previdência Complementar (CNPC), alerta sobre as mudanças em discussão no conselho.
domingo, 25 de outubro de 2020
Aposentelecom: A postagem desse blog mais visualizada na última semana
























